Abstract
Background: Ibrutinib is current standard of care for patients with relapsed/refractory (R/R) chronic lymphocytic leukemia (CLL) based on phase 3 clinical trials. There is often a discrepancy between data obtained in clinical trials with strict inclusion criteria and those later obtained in routine health care. We have previously reported the 10-month follow-up of real-world results on ibrutinib in consecutive Swedish CLL patients treated in a compassionate use program (CUP) (Winqvist et al., 2016). Here we present follow-up data at 21-month follow-up with extended PFS, OS and safety.
Methods: Inclusion/exclusion criteria of the CUP have been described earlier (Winqvist et al., 2016). All patients were identified for follow-up. CRFs were updated after a second round of in-depth analyses of individual patient files and data were cross-checked. Patients received 420 mg oral ibrutinib once daily until progression. Dose modifications were allowed as needed.
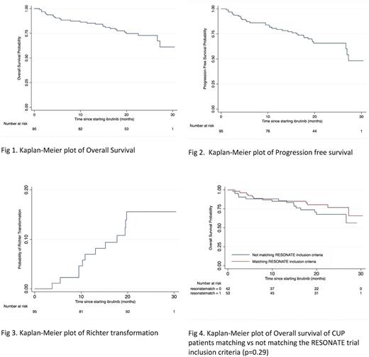
Results: The 95 patients had a median age of 69 years, 63% had del17p/ TP53 mutation and had received a median of 3 prior therapies. 27% had PS grade 2 or 3 (Winqvist et al., 2016). The median treatment duration at this 2nd data analysis was 19.6 months (range 0.6-30.4 months) and 54 patients (57%) remained on ibrutinib therapy. The overall response rate (ORR) was 85% including 63% PR, 14% PR with lymphocytosis and 8% CR. The median PFS and OS had not yet been reached. At a median follow-up time of 21.4 months (range 1.2-30.4 months) the OS rate was 72% and the PFS rate was 65% (Fig 1 and 2).
Toxicity was similar as in the first report (Winqvist et al., 2016) with 38% grade 3-4 neutropenia, 28% grade 1-2 diarrhea (1 grade 3) and 16% arthralgia /muscle pain (4 grade 3-4). Hemorrhage occurred in 52% (1 grade 5) and 13% had atrial fibrillation. Richter transformation (RT) occurred in 13% after a median time of 12.0 months (range 3.7-19.8); in contrast to another report (Woyach et al., 2016), no clearcut RT plateau was observed (Fig 3).
27% of the patients have died due to RT (n=8), infection (n=5), secondary malignancy (n=4), CLL progression on therapy (n=3), CLL progression after ibrutinib cessation (n=3), congestive heart failure (n=1), subdural hematoma (n=1) and unknown (n=1).
Ibrutinib was permanently stopped in 41 patients (43%). The most common reasons were RT (n=11), infection (n=7), other malignancy (n=4), allogeneic SCT (n=4), CLL progression (n=4), cutaneous AE (n=3), or drug interaction (n=2). Fifteen patients had totally 20 treatment breaks longer than 14 days (median 22 days). In contrast to others (Barr et al., 2017; Forum, 2016) we found no impact of breaks >14 days on PFS or OS.
We also analyzed whether our patients would have fulfilled the inclusion criteria of the pivotal phase 3 study (RESONATE) (Byrd et al., 2014): 44% had at least 1 exclusion criteria, further supporting the real-world representativity of our cohort. However, neither ORR, PFS nor OS was significantly different between CUP patients matching vs not matching the RESONATE criteria (Fig 4, p=0.29 for OS).
In contrast to the first report (Winqvist et al., 2016), the negative impact on del17p was no longer significant but del17p patients who had 3 or more previous therapies had a short OS on ibrutinib (median 19.6 months). In univariate and multivariate analysis OS was associated with baseline comorbidities (CIRS) and PFS was associated with CIRS and number of prior therapies.
Conclusions: The 21-month follow-up of the Swedish real-world analysis on ibrutinib treatment of CLL patients with poor prognosis baseline characteristics showed that 57% of patients remained on therapy, but there were still no signs of an emerging plateau of the PFS or OS curves. New RTs were still occurring. Ibrutinib was well tolerated by most patients. Updated results including a markedly longer follow-up will be presented at the meeting.
Andersson: Janssen: Membership on an entity's Board of Directors or advisory committees, Speakers Bureau; Abbvie: Membership on an entity's Board of Directors or advisory committees; Gilead: Membership on an entity's Board of Directors or advisory committees, Speakers Bureau; Roche: Speakers Bureau; GSK: Speakers Bureau. Karlsson: Janssen-Cilag: Honoraria; Abbvie: Honoraria. Lundin: Janssen-Cilag: Research Funding; Celgene: Research Funding. Mattsson: Janssen-Cilag: Honoraria; Gilead: Honoraria; Abbvie: Honoraria; Roche: Honoraria. Hansson: Gilead: Honoraria, Research Funding; Janssen-Cilag: Honoraria, Research Funding; Abbvie: Honoraria. Österborg: Pfizer: Honoraria; Abbvie: Honoraria; Celgene: Research Funding; Janssen-Cilag: Honoraria, Research Funding; Gilead: Honoraria, Research Funding.
Author notes
Asterisk with author names denotes non-ASH members.

This feature is available to Subscribers Only
Sign In or Create an Account Close Modal